افت ولتاژ (Voltage Drop)، کاهش پتانسیل الکتریکی در طول مسیر انتقال انرژی از منبع (مانند تابلوی اصلی یا پست برق) تا مصرفکننده (مانند موتور، لامپ یا پریز) است. این پدیده ناشی از مقاومت طبیعی سیمها و کابلها است و یک چالش جدی در سیمکشیهای طولانی (بیش از 30 متر) در ساختمانها و پروژههای صنعتی محسوب میشود.

۱. عوامل ایجاد افت ولتاژ
افت ولتاژ عمدتاً ناشی از مقاومت (R) و راکتانس (X) کابل است و به طور مستقیم با جریان عبوری (I) متناسب است.
- جریان بار (I): هرچه توان مصرفی دستگاهها بالاتر باشد، جریان بیشتری از کابل عبور میکند و افت ولتاژ بیشتر میشود.
- طول کابل (L): مقاومت کابل مستقیماً با طول آن متناسب است. در مسیرهای طولانی، افت ولتاژ به صورت خطی افزایش مییابد.
- سطح مقطع (A): مقاومت کابل با سطح مقطع آن رابطه عکس دارد. با افزایش سایز کابل، مقاومت و در نتیجه افت ولتاژ کاهش مییابد.
- ضریب توان (Cosphi): در مدارهای AC، ضریب توان نیز بر افت ولتاژ تأثیر میگذارد (به ویژه در کابلهای ضخیم و مسیرهای طولانی که راکتانس قابل توجه است).
۲. استانداردهای مجاز افت ولتاژ
افت ولتاژ بیش از حد، باعث عملکرد نامناسب تجهیزات، گرم شدن بیش از حد سیمها و اتلاف انرژی میشود. استانداردها برای محدود کردن این پدیده، سقفهایی را تعیین کردهاند:
نوع کاربرد | حداکثر افت ولتاژ مجاز (ΔVmax) | محل اندازهگیری |
روشنایی | 3% از ولتاژ نامی (مثلاً 220V) | از تابلوی اصلی تا مصرفکننده (لامپ) |
پریزها و قدرت | 5% از ولتاژ نامی | از تابلوی اصلی تا پریز یا تجهیز (موتور) |
موتورهای پرمصرف | ممکن است در لحظه راهاندازی تا 10% مجاز باشد. | در حالت عملکرد نرمال، زیر 5% |
توجه: در سیستم 220V، افت ولتاژ 3% معادل 6.6 ولت و 5% معادل 11 ولت است.
۳. محاسبات دقیق افت ولتاژ
محاسبات افت ولتاژ بسته به نوع سیستم (تکفاز یا سهفاز) متفاوت است.
الف) محاسبه افت ولتاژ در سیستم تکفاز (220V)
در سیستمهای تکفاز، افت ولتاژ با استفاده از مقاومت کابل محاسبه میشود.

- DeltaV: افت ولتاژ (بر حسب ولت)
- L: طول کابل (بر حسب متر)
- I: جریان بار (بر حسب آمپر)
- R_c: مقاومت کابل در واحد طول (معمولاً Ohms/km)
- X_c: راکتانس کابل در واحد طول (معمولاً Ohms/km)
- Cosphi: ضریب توان (در مدارهای روشنایی approx 1، در موتورها approx 0.8)
- توجه: ضریب 2 در فرمول برای رفت و برگشت جریان (فاز و نول) است.
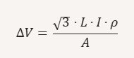
ب) محاسبه افت ولتاژ در سیستم سهفاز (380V)
در سیستم سهفاز، ولتاژ بین فازها در نظر گرفته میشود و فرمول شامل ریشه 3 است:

- تحلیل: برای یک جریان و طول مشخص، افت ولتاژ در سیستم سهفاز کمتر از سیستم تکفاز است.
۴. تأثیر راکتانس در محاسبات دقیق
برای کابلهای نازک و فواصل کوتاه (L < 50 متر)، راکتانس (X_c) قابل چشمپوشی است و محاسبه عمدتاً بر اساس مقاومت (R_c) انجام میشود.
اما برای کابلهای ضخیم و طولانی (به ویژه در تأسیسات صنعتی):
- اهمیت راکتانس: راکتانس ناشی از فاصله بین هادیها و اثرات میدان مغناطیسی است. در کابلهای ضخیم، اگرچه مقاومت کاهش مییابد، اما راکتانس میتواند به اندازه یا حتی بیشتر از مقاومت در افت ولتاژ سهم داشته باشد.
- اهمیت ضریب توان: در این حالت، میزان تأثیر راکتانس به ضریب توان مدار بستگی دارد. هرچه ضریب توان پایینتر باشد (Cosphi کمتر، Sinphi بیشتر)، تأثیر راکتانس بر افت ولتاژ بیشتر میشود.
۵. راهکارهای کاهش و بهینهسازی افت ولتاژ
برای اطمینان از قرارگیری افت ولتاژ در محدوده مجاز، مهندسان از روشهای زیر استفاده میکنند:
- افزایش سطح مقطع کابل (سایزینگ):
- مؤثرترین راهکار. اگر محاسبات نشان دهد که افت ولتاژ بیش از 3% است، باید سطح مقطع کابل را به اندازه کافی افزایش داد تا مقاومت آن کاهش یابد. این روش باعث افزایش هزینه اولیه مس میشود، اما هزینههای عملیاتی (اتلاف انرژی) را کاهش میدهد.
- بهبود ضریب توان (Cosphi):
- در محیطهای صنعتی، اصلاح ضریب توان با نصب بانکهای خازنی باعث کاهش جریان (I) و در نتیجه کاهش افت ولتاژ میشود.
- توزیع بار (استفاده از تابلوهای فرعی):
- به جای استفاده از یک کابل بسیار طولانی از تابلوی اصلی، میتوان یک تابلوی فرعی در میانه مسیر نصب کرد و تغذیه مصرفکنندههای انتهایی را از آن تابلو انجام داد. این کار طول کابلهای شاخهای را کاهش میدهد.
- کاهش طول مسیر:
- در صورت امکان، با بهینهسازی مسیر کابلکشی، طول فیزیکی کابل را کاهش دهید.
محاسبه افت ولتاژ و توان نامی :


































